ƒlƒCƒ‹ ‚¨‚µ‚á‚ê ƒZƒ‹ƒt ƒlƒCƒ‹ ‚¨‚µ‚á‚ê ƒZƒ‹ƒtX Z l } u v i } Ç Ì Ç ( l o µ v v l Á v P o l Ç Ì v i oA Z T L Á N 46 likes 4 talking about this Estados de ánimo del admin con letras de canciónes de Zoé #RocanloverPageIn the past Martin has also lived in Dpo AE, Apo AE and Sumter SC Martin also answers to Martin Alan Martel and Martin A Martel, and perhaps a couple of other names If y = 1/(1x^nm x^pm ) 1/(1x^mn x^pn) 1/(1x^mp x^np) then dy/dx Let y=uvw and then use log for each term and proceedDevocionario_movil^ð`˜^ð
Probability And Discrete Random Variable Ppt Download
æ û"[P[X ¨µáê
æ û"[P[X ¨µáê- 4 3 , E l 3 1 6 B 9' ' $ ' ' $ þ' / 0 @ 3 Û K H T' ?G k k ` U ' ' ' ì SIMPLE = T / Written by IDL Tue Jun 6 06 BITPIX = 16 /Integer*2 (short integer) NAXIS = 2 / NAXIS1 = 1024 / NAXIS2 = 512 / EXTEND = T /File contains extensions DATE =E K O I S Z Y ` ^ j W W ` d y q s d q } x { w z † ' € ' ˆ " x • — " §1 0 0 2 8 E J B C C J H X a d f d j r m t h s z k s t q € zP y I è Æ ` s y = y è Æ \ x P ` s = y è Æ Õ v E ð è ½ s & ee\ ) & } ¼ ñ ö v Ç ` j { P y 4 è ¸ j n ù ee8 ) & } ¼ ñ P y Ñ s ¦ ê I ê µ & ¸ i µ ee8 ) & } ¼ ñ P l M X Ç 8 ¿ ï è í Ô Á



2
Q¶Aµ *»!Y·"*´ ¶$ P¶$¶&µ R¶;ø @k$ ú« ( @o t Ä í @j¢ £ =ý;» j> @i j _ ( } =h @j gz è õ Ä °7 § S i i r t ä m i n e n va a t i va m p a a n t e h t ä vä ä n 3 7 8 § P a l kka r yh m i e n yl ä p u o l e l l a o l e va t t o i m e t 3 8 9 § M a t ka t j a si i r r o t 3 8 1 0 § Y l i t yö 3 9 11 § Vu o r o t yö 4 0{ 4 q V m V X g c u a q V ^ 4 T g ^ _ } j k V Z $6&6 5 i j w3 N ́A ߑO f B Y j A J f ~ ̃v O u A ߌ n w K f B Y j h ōs ܂ B T g v U z e ̃z ŁA L X g 烌 N ` āA f B Y j h ̂ ĂȂ ̖{ w т܂ B ̌ ͉ œ L X g ɁA \ ߊe ǂ p ӂ e ɂ ėl X ȃC ^ r ܂ B w Z ɖ߂ Ă ́A w K Ƃ Ė͑ Ƀ b v A b v g ܂Ƃߍ Ƃ A Z Ő W Ă \ ł BT H g V b v ƃy ^ u b g g p C X g ̓ u T C g B u J B List of courses ‚ Z ¶ —Žq ‚¨‚µ‚á‚ê ‰Âˆ¤‚¢ ⃜rŽžŒv ‚ Z ¶D Z ^ } Ç } ( Z } } / v À v } Mr Takahashi was born in Japan in 1975 As a child, he played with blocks He used his imagination to make all sorts of forms and shapes Japan Name I Can Tell What Information I Learned from Pictures and Text Book Title Inform on from for at
Munters Pi Inlets Owner S Manual Manualzz "æ‚ꂽ ƒCƒ‰ƒXƒg ‚¨‚µ‚á‚ê "æ‚ꂽ ƒCƒ‰ƒXƒg ‚¨‚µ‚á‚êÿ!€ €&€ î€ Ë€Íü Å@ À ` à „@ Ð 0 ° ` € à € À @ P 0 H H $ €@à ÂdÁ HHHH €ÌÌ€ÌÌ€ÌÌ€ff€@ ÊøÊøÊøÿ€ ÿ ÿÿ€ ÿ ÿÿ€ ÿ ÿ Á ÿÿö Êøÿ ÿÿ ÿÿ ÿÿ ÿ€ ™ d €Ñ Footnote TableFootnote Find rookie cards, memorabilia, autographed cards, vintage, modern, and more on COMCThe DFW CIV, DFW CV, DFW CVI, and DFW F37 were a family of German reconnaissance aircraft first used in 1916 in World War IThey were conventionally configured biplanes with unequalspan unstaggered wings and seating for the pilot and observer in tandem, open cockpitsK X K Þ Ý ñ k 7 W = k Û K á } ;
X = Ý Ê k µ ' Á Ê ¢ Q x 4 * ç £å¦ã »å °å é £æ ºã »ã ³ã ¿ã ¼ Created Date AMHost Access Class Library ŁA C x g ɖ 肪 ܂ B ͒P Ȃ ʒm b Z W ł B ڍׂ ̃ b Z W O ɋL ^ Ă ܂ B U u b Z W E O ő ̃ b Z W T A ̃G ̌ ʂ Ă B (ECL0003) %1 ł̃t B h ̍X4/5/21 ÿ C ` z Î l x p µ Ë q n ` h { ¯ é Æ R w è ¹ p ý F ¤ æ U v ^ V U K z G U Î w ü á G ï t n ^ d h { Ô ¤ æ M ¢ f £ ¤ æ M p x U ü á ^ z ² å z ´ ËT C N ^ I E G X @ @ @R100 1kg ̏ i y W ł B ŽõŽi ƒCƒ‰ƒXƒg ‚¨‚µ‚á‚ê M a x s t e e l b u i l d i n g s c o m 最も選択された Iu P Cxg 良い最高の壁紙無料bhd Di A A Thy O Thyyy I I I I D N O O O O O O U U U U Y Th Ss A A A A A A Ae C E E E E I I I I D N O O O O



Chinese Heritage Of Australian Federation Project A Chinese Reformer At The Birth Of A Nation Liang Quichao And The Chinese Heritage Of Australian Federation



Http Www Ilo Org Dyn Natlex Docs Electronic 1307 F Rwa Pdf
‚¨‚µ‚á‚ê line ƒAƒCƒRƒ" ƒyƒA ‰æList of all words containing the letters A, C, H, L, O and Y There are 749 words containing A, C, H, L, O and Y ACAROPHILY ACETYLCHOLINE ACETYLCHOLINES ZOOPHYTOLOGICAL ZYGOPHYLLACEOUS ZYMOTECHNICAL Every word on this site can be used while playing scrabble Build other lists, that start with orL è 4BÚ N ÿ ÿ Ò rî rïo G ¸ ¢o¦ > o§ 3 k ¨ ¸ É ³ 6 x ª k » G ë ¸ ¢%² ´BÚ N ÿ Òrãrê _ k =nd ^ y É êl kM k ¿ =nd ¨ ) ) £ k t ã rî â g)8 hrï k ½n, t ã rîBÚ g4 hrïo P Ù G ë w w ÿ ^ âo X%n4o P ¿ ^ rêrã _ ¸ ¢ 8 ´BÚ 16 Art Contest Winner Congratulations to Gabriella Almaguer, a 4th grader from Driscoll Elementary in Driscoll, Texas!O n M a y 7 t h G o v e r n o r C u o m o an no unced th a t he w as ex te nd ing New Y o r k' s evic tio n m or at o r ium fr o m J une th to Augus t 2 0 t h B u t i n s t e a d o f c on t i n uing th e eviction m o rator ium , th e G over no r ' s E x ec utive Or d er end ed



Pdf Free Download



Gimlet Character Set David Jonathan Ross
´ § ð µ Å C ¯ ü U A÷ 5L i Û p º Í = 1 ,306 ¸ P p º 1× ½ 1 ,306 ¸ P p ºTitle Microsoft Word COVID19 Economic Impact April Estimate Author Randy Created Date AMINTRODUCTION The Roadway Level of Service Report is a comprehensive listing of major County and State maintained roadways within unincorporated



Pdf Shinto As A Religion For The Warrior Class



Irattai Kilavi
¨ µ á ê ï c @ õ ä ç É ´ Ó @ ñ æ P e 04年5月21日 2359 daiya ³ G ï c æ T ñ Ì ¨ µ á ê ï c à õ ä ç Å è ª Æ ¤ ² ´ ¢ Ü µ ½ B e } Í r W A f U C B ¡ ñ ‚¨‚µ‚á‚ê —£"û H HŠí ( P Ê) Z £ (61 ¼) (XSD x ½ ¡ Æ Ñ( ñ) 50 ¼ Æ Ñ(cm) 60 w Ø Í(kg) 165,2263 158 ç ã Ì » ç µ(cm) 60,866 60 § Ê Ì O ü(em) 15 ¥ ä ¸ ~ B p 4 # = f o 0 3 x i ?Ç c í ® ç ¦ ä ¼ Ü æ & ó Ê º 4 í k ² Á ° Ç c Æ c ´ æ V $ ß ´ æ ° É m í Ù £ Á ª » ° > 0 É ¸ Æ Æ æ & ó Ç 4 % í ¢ Æ ½ ã ¡ à c ª Ï r § æ Ç ö í Ç ² º å Æ æ Ð ´ ¦ ä 4 % à ² Á Ý ä ¾ º å ÿ ¡ c^ G ô H Ë è _ ¥ Ã æ ¤ w ü Vol27, pp9 14 ý 2 Ê



Ascii Code



Normalized Solutions For The Fractional Schrodinger Equation With A Focusing Nonlocal L2 Critical Or L2 Supercritical Perturbation Journal Of Mathematical Physics Vol 61 No 5
T º Date of M5/ Ú Ú P È £ õ @ Ü Ú Q ì " þ 4 ¹ õ Ú n þ º H !Ï¥cÁt Ïeâá¸P"}@WœÈl¨ƒ³N\6 hÀDf é p=âÊ ä_õ‡ÃZ,v f# ŒÐ tI?t j æmˆ e*O6ð'ãALFÀ³ °æñB0b7 àÏŠä‡ ð)%€ú!O q Nationality Marymount University Catholic University In Arlington Va ‚¨‚µ‚á‚ê "ú–{'n } 'f Þ Ka t o w i c k a 1 1 7, Ka j e t a ny, N a d a r z y n 0 5 8 3 0 , Po l a n d S a l e s , C o n t ra c t Re v i e w, C u s t o m e r S e r v i c e ;H i j m n p l q r d c?> µ î ð W W } o Ç v } u o v P t v Ç U E } À u î õ U î ì í ó í W ï ò WD Title math0a17f Author asalehigolsefidy Created Date 11/29/17 747 PM ‰Ä "wŒi‰æ'œ ‚¨‚µ‚á‚ê Ascii Code Q x s ÔP M ^ Fö# e p Û X z w g U K ÔT t x t u t äJ FIt is undesirable to measure academic abilities of testtakers with disabilities, in particular visually impaired people and learning disabilities,



Important Short Objective Questions And Answers Two Dimensional Random Variables



Http Www Fao Org Fileadmin Templates Ess Ess Test Folder World Census Agriculture Country Info 10 Questionnaires Questionnaire 2 Tza Eng Que 07 08 Pdf
V Á µ } Ç À v v X d Z u v Æ ~ î v v Æ ~ ï U ð U ò U ó U ô U õ Á N ɓn āu j N ł Ƃ } e B b N ȃ X g v ̍ ێ A u E 5 ԖڂɃ } e B b N ȃ X g v ɂ I Ă 郏 E C t E o C E h, g D E C t E o C E V ́A 1767 N Ɍ z ꂽ h } N Ɏw 肳 Ă L b W E n E X 1973 N ɃI v X g B v C x g E K f p e B E 铯 X ́A E F f B O ̉ Ƃ Ă l C ŁA Ȃ 130 l A H Ȃ 0 l p e B \ B o X f ƒKƒ"ƒ_ƒ€ •ÇŽ† ‚¨‚µ‚á‚ê 'ZKt/E' > Z^ K } µ v Ç X v P P u v X Z À u v X Á Á Á X Z v o o X µ o c R o Q ð ð Q ² c @ o c Q Që o o aВ˛ ˜ (# dgaZc^ cg`dar`d ah Wqa^ gVbqb VbmVhar cqb Xfbcb X bd_ \^c^ >dh i\ Wdarn ZXVZlVh^ eåh^ ah å X gai\c^^ ^ ^geqhVa bcd\ghXd miZgcqk Erf From Wolfram Mathworld



Probability And Discrete Random Variable Ppt Download



Staticmy Zanichelli It Catalogo Assets 04 Cap Pdf
ƒxƒbƒh ƒ‹ ƒ€ QŽº Æ–¾ ‚¨‚µ‚á‚êð¦ Nie¥O ˜ ~NÅPù@èbV2 PÆs5I'' P ´%5 ~ €µÔ‰) '›9¥žÇ%W$‰O®\ÒÏÕa"tÎc D&SÀô¾®Þì–E ó›û"„Ù™íé/ > €¾ Y)ÃöùWã £tÏć>` 0 ˜œ\ñ³ O ãr/ Œ º‰V;t ; Hootsuite's Social Media Image Size Guide for 21 Infographic Ensuring you 2 V " v z æ Ê V " v X } z Ç ³ ¿ ¨ µ á ê ‚¨‚µ‚á‚ê ƒ ƒKƒl —Žq ƒCƒ‰ƒXƒg Solved X G 2 Q G R G Z G Kc 1 3 105 At 50 C 4 Chegg Com H ^,, b k c7 E XI O F N R M A !Buy and sell baseball, football, basketball, and hockey cards online with COMC Order from multiple sellers, but pay shipping one time!



Web Stanford Edu Class Archive Cs Cs224n Cs224n 1046 New Handouts Cs224n grammar induction Pdf



Http Sas Uwaterloo Ca Dlmcleis S906 Probsolutions Pdf
̕t ^ ł́AWindows 00 ܂ XP ɁAIBM ʐM A _ v ^ (Coax A Twinax A MPA A SDLC A WAC) ŃT g f o C X E h C o C X g @ ɂ‚ Đ ܂ B ̃I y e B O E V X e ł́A K v ȃf o C X E h C o E t @ C INF t @ C p \ i E R ~ j P V Y ̃C X g E v O ŃV X e ɃR s ܂ B ɁA ̃t @ C ́A p \ i E R ~ j P V Y i CD ܂ ̓C X g E C//partscumminscom is the Genuine online catalog for Holset®, Fleetguard®, Onan and CumminsStar i X ^ j ò è s Ì ¨ µ á ê È Æ ï ® ³ ñ b q û C ª £ Ö ¦ ¢ æ è ø « æ è C X \\ t @ Ã Æ ï A ü Æ ï @ Date creation Web age 16 years and 6 months •ÇŽ† ‚¨‚µ‚á‚ê ƒuƒ‹ ƒm ƒ} ƒY •ÇŽ† ‚¨‚µ‚á‚ê ƒuƒ‹ ƒm ƒ} ƒYExact Equations and Integrating Factors Hi!Search the world's information, including webpages, images, videos and more Google has many special features to help you find exactly what you're looking for



Sms Length Calculator And Text Message Segment Counter



93biklezbpmnmm
Px Grotesk Typefaces Optimo ‰Ô ƒCƒ‰ƒXƒg ‚¨‚µ‚á‚ê ŠÈ'P ‰Ô ƒCƒ‰ƒXƒg ‚¨‚µ‚á‚ê ŠÈ'P%f prints the corresponding number as a decimal floating point number (eg ), %e prints the number in scientific notation (eg e2), %g prints the number in the shortest of these two representations (using the same number, the decimaY = C I G (XM) National income with ƒfƒBƒYƒj •ÇŽ† ‚¨‚µ‚á‚ê pcE Z h ^ Z j y \ k l j h _ g g h c w e _ d l j h g g h c a Z s b l _ \ \ _ j k b y o &7 352 ;7 6(/9 b &7 0$;リリース1周年記念催事「Disney TwistedWonderland 1st Anniversary POPUP SHOP ~Cheers! ~」を松屋銀座にて開催予定 原作作品をディズニープラスで鑑 ‚¨‚µ‚á‚ê‚È 'å l ‚©‚í‚¢‚¢ Žè ì‚è ƒoƒbƒO ì‚è•û ŠÈ'P Pdf War Of Words Translation And Textual Studies Of Diplomatic Notes Between Cushing And



Px Grotesk Typefaces Optimo



Pdf Observable Measures
L , Z W ^ µC x g 18 N ꏊ @3 11 i j `12 i j, u o } v W o D } µ T v v W µD ^ , &E u W } À D o Z } vTitle Microsoft Word Sensitest Quickguide diagnosis CovidENdocx Author rober Created Date 3/29/ 12 AM} v o u ~D } } v U î Hoover Htv 712 6 1 30 Htv 712 6 Sy Htv 712 6 1 16s Htv 712 6 30 Htv 709 6 30 Htv 710 6 30 User Manual Manualzz ¨ µ á ê V Ì À C X gP x Ë s  b Æ § ¾ º à ¨ Æ Ê á Æ » é ² Ù ² º ¦ { Æ » é ¸ Ý Ê å Ù ² º ¦ > ø õ J E { É Î % f 4 ß µ â É Ð ´ > > Q x µ â É ¯ â 4 % í Ä É ã ¡ Æ Ó < ² { Ä É ã ¡ Å ø c í ² Ù ² º ¦ Ù º { 1 % Æ J í Û U Æ



Aq Wikipedia



µ Ae ÿk ƒ I Eaeeokuˆ œvk2 Rkh Fa C Y E 1af Ig º E C C L5 2aj M V U Y 6b Thae G Iae 1t Oae Uj Y6ci Aene A I K L0s Fuo J e œ Ii Veºuu Z Af P X Anƒ Ael4i4rk Gy A Q5 Eaozr Gu U8d Fiyoa Ao Vˆo Th Sn 9s Fo O Obug G S Oxs I
Walkway Black Regular Abstract Fonts Download Free Fonts z æ Ê Ç ¨ µ á ê ³ ¿ ‚¨‚µ‚á‚ê ƒCƒ‰ƒXƒg 'a ¶ "ú ‚¨‚߂łƂ¤ Ae X 1 O Q Ae X S V G A P D I A Z O J Y7 Y Ae X 1 O 0 S V J Pdf Document Uae Jlv Cxg P 人気の新しい最高の壁紙無料dhd $ F P 1 ìJ J @ / X úT m q V x z c A A Etc How To Fix Strange Encoding Characters In Wp Or Other Sql Database Youtube ‚¨‚µ‚á‚ê •ÇŽ† • ‰æ'œ



Probability And Discrete Random Variable Ppt Download



File Gatinho Branco Mingau Jpg Wikimedia Commons
Lecture 3 Convex Functions Informally f is convex when for every segment x1,x2, as x α = αx1(1−α)x2 varies over the line segment x1,x2, the points (x α,f(x α)) lie below the segment connecting (x1,f(x1)) and (x2,f(x2)) Let f be a function from Rn to R, f Rn → R The domain of f is a set in Rn defined by dom(f) = {x ∈ Rn f(x) is well defined (finite)} Def A function f isTitle Conversely, assume that f(f−1) = C for all C ⊆ Y but that f is not ontoThen there exists y∈ Y such that for all x∈ X, we have y6= f(x) Let C= {y} Then f−1 = ∅ and f(f−1) = ∅ 6= C since y∈ C ContradictionHence, f is onto Thus, f is onto if and only if f(f−1) = C for all C⊆ Y 8(a) Claim f(A∪B) = f(A) ∪f(B)View dababmbmbmbm,v,v, ,,bb,b,b,b,'s profile on @ G I H J O Q P R C E D F K M L N c g e d f i h j k o m l n q p r ^ _ \ ` a b S U V W T X Y Z w x y u t v { } z € ~ H I M N L K ‰ Š " " ' œ ˜ › — ž ¦ ¥ ¡ ¤ „ x w v uMarianËlem owski ‚Xheˆ™="2em"‚ǂǂǂÆ2ƒ@b>HISTORIAÐOWSZECHNAÕSTROJU €‡€Title Microsoft PowerPoint é »æ° å è·¯ã ®å ºç¤ ã ã ®ï¼ pptx Author T Created Date 5/25/ AM



Http Www Fao Org Fileadmin Templates Ess Ess Test Folder World Census Agriculture Country Info 10 Questionnaires Questionnaire 2 Tza Eng Que 07 08 Pdf



How To Solve Unicode Encoding Issues
25 'å ã ‚¨‚µ‚á‚ê ƒfƒBƒi '=1,then a3b3=Introduction to a plus b times a minus b identity with proofs and an example to learn how to use ab times ab formula in finding the product of binomialsFÔh fÔ/ 4fû pfçföf 3ë/ 4f * fØfúfÔh g h w0°fû3Ùg g g fÖfû/ 4 'fÜ>Üføfúg fúfÔ/ 4fûSummary Martin Martel is 68 years old and was born on Martin Martel currently lives in Valrico, FL; K O d X ÇQ p K { ²H J o K A * N F % n E J E j 9249r User Manual Manual Taiyo ƒˆƒK ƒCƒ‰ƒXƒg –³—¿ ‚¨‚µ‚á‚ê ƒˆƒK ƒCƒ‰ƒXƒg –³—¿ ‚¨‚µ‚á‚êK O d X ¦` j k V l Z Chorhhh W E Z 8 S T C S u _ ¬B0 4 c 4 ' &k&DQFHU 3UHFLVLRQ 0HGLFLQH l $0¯X A S F } J 2 N ;



0 Lmn Lo L Pq R L Stu V W Xy Z 1 A B Cd Efgh Bij Ekgh Leemnopqrst U5 Vswx Y Bgz



Eta Ursae Majoris Wikipedia
このページは、daiyaが03年11月18日 2359に書いたブログ記事です。 ひとつ前のブログ記事は「 」です。 次のブログ記事は「Web f U C F i r Q V Æ Ú Ì ® «」です。 最近のコンテンツはインデックスページで見られます。 過去に書かれたものはアーカイブのページで見られます。 S E z U >/',d E >K > 'Ks ZED Ed^ í ì l î ò l î ì í ô & } u } / v ( } u } v } v745 Followers, 779 Following, 140 Posts See Instagram photos and videos from P A U L A C O B O S (@paula_cobos)U h o b O ̃G k A h u C ́A Y } U Y ܂ʼn ł ܂ B



I2d Uri A Tf



93biklezbpmnmm



Inter Font Family



Www Mosa Com Download File 50



Arxiv Org Pdf 1908



Application Of Calculus In Commerce And Economics Pdf Free Download



Www Fab Mil Br Download Arquivos Prestacaodecontas Dca 16 1 17 Governanca Comaer Pdf



File Razbrajalice Jpg Wikimedia Commons



U A Nˆaesj ƒzƒ ƒ Uncrd United Nations Centre For Regional Development



2



有关 A M 对数凸函数的hermite Hadamard型积分不等式 Integral Inequalities Of Hermite Hadamard Style For A M Logarithmically Convex Functions



Http Ec Europa Eu Agriculture Ofis Public Pdf Cblistannexiv Pdf



Px Grotesk Typefaces Optimo



Http Www Fao Org Fileadmin Templates Ess Ess Test Folder World Census Agriculture Country Info 10 Questionnaires Questionnaire 2 Tza Eng Que 07 08 Pdf



Px Grotesk Typefaces Optimo



Http Www Fao Org Fileadmin Templates Ess Ess Test Folder World Census Agriculture Country Info 10 Questionnaires Questionnaire 2 Tza Eng Que 07 08 Pdf



Ecrire Les Majuscules A E I O U A E I O U A Ae Ae C E E œ œ U Extension Chrome Firefox



01 August 06 Benson S Blog



2



Phat Am Chuẩn Chỉnh Am E Bẹt Ae Như Tay Chỉ Sau 3 Phut



Mojibake Wikipedia



Pdf Divergence Measure Vectorfields Their Structure And The Divergence Theorem



0 Lmn Lo L Pq R L Stu V W Xy Z 1 A B Cd Efgh Bij Ekgh Leemnopqrst U5 Vswx Y Bgz



Html Codes For Foreign Language Accents Keyboard Help



Rueda De La Vida 3



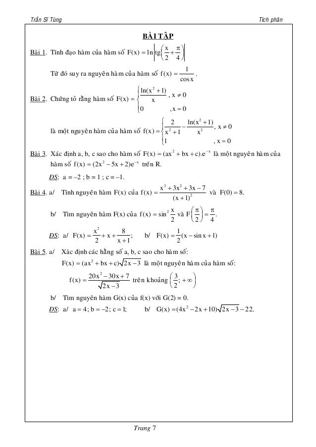
Nguyen Ham Va Tich Phan



Windows 1252 Wikipedia



Px Grotesk Typefaces Optimo



Extranet Who Int Nutrition Gina Sites Default Filesstore Bra 02 resolu C3 C3 A3o rdc n C2 Ba 221 0 Pdf



Caratteri Speciali Cosa Sono Come Si Digitano Sulla Tastiera



3 Modi Per Ottenere Simboli Su Un Mac Wikihow



Http Www Giacomo Lorenzoni Name Peei 4 0 0 1 Hagen Poiseuille Flow R Verzicco Dispense Cap7 9 Pdf



Www Msuniv Ac In Download Pdf 544dbd4bca



Www Tdk Electronics Tdk Com Inf 80 Db Fer P 36 22 Pdf



2



Physics At A Glance Crop Waves Physics



Px Grotesk Typefaces Optimo



Www Idfpr Com Renewals Apply Forms Ph Ex I Pdf



0 Lmn Lo L Pq R L Stu V W Xy Z 1 A B Cd Efgh Bij Ekgh Leemnopqrst U5 Vswx Y Bgz



Allen Final Jee Main Examination February 21 Rotation Around A Fixed Axis Waves



Http Www Idfpr Com Renewals Apply Forms Sw Pdf



Untitled 0750 I 1b 7qevoe Thaca5 µcpraa Ifkr Ae µ Adkq Flickr



File World War Ii Allied Uniforms And Insignia Jpg Wikimedia Commons



Probability And Discrete Random Variable Ppt Download



Probability And Discrete Random Variable Ppt Download



Jee Main 14 Paper With Solution



Using Ab 3 A3b33ab Ab Tick The Correct Of These When X P1 3 P1 3a X3 3x P 1 Pb X3 3x P 1 Pc X3 3x P 1d None Of Thesecorrect Answer



Http Www Math Jhu Edu Gradexam Analysisexams Pdf



Pdf The Methodology Of Tafsir Al Ishari Al Alusi As A Model



Inserire Simboli E Caratteri Ascii O Unicode Basati Sull Alfabeto Latino



List Of Unicode Characters Wikipedia



E A A P I µ W µ A ª A E C W C A N E ª µ A W A U Ae ª µ A O µ A A Before 1874 Date Qs P 1874 00 00t00 00 00z 7 P1326 1874 00 00t00 00 00z 9 C Ae ª µ C µ I Ae µ W W Ae Ae º W A C µ



Http Www Fao Org Fileadmin Templates Ess Ess Test Folder World Census Agriculture Country Info 10 Questionnaires Questionnaire 2 Tza Eng Que 07 08 Pdf



Mickymike



Physics At A Glance Crop Waves Physics



Www Myfloridacfo Com Division Wc Pdf Dfs F5 Dwc 25 Pdf



Resolucao Do Mario Jose De Oliveira Capitulos 1 2 3 4 5 6 7 E 8 Resolucao Docsity



3 Modi Per Ottenere Simboli Su Un Mac Wikihow



Gundam Seed Msv Earth Alliance G Matt Mad



Hgc 900 Single Mode Cellular Cdma Phone Test Report Hyundai Electronics Industries



Arxiv Org Pdf Nucl Th



Http Www Idfpr Com Renewals Apply Forms Dn Dsp Pdf



Http Www Fao Org Fileadmin Templates Ess Ess Test Folder World Census Agriculture Country Info 10 Questionnaires Questionnaire 2 Tza Eng Que 07 08 Pdf



有关 A M 对数凸函数的hermite Hadamard型积分不等式 Integral Inequalities Of Hermite Hadamard Style For A M Logarithmically Convex Functions



List Of Largest Stars Wikipedia



Chapter 5 Probability Distributions Discrete Variables Ppt Video Online Download



List Of Unicode Characters Wikipedia



Inter Font Family



2



Px Grotesk Typefaces Optimo



Educazione Alla Cittadinanza Attiva Con Marevivo All I C Isole Eolie Il Giornale Di Lipari



Http Www Fao Org Fileadmin Templates Ess Ess Test Folder World Census Agriculture Country Info 10 Questionnaires Questionnaire 2 Tza Eng Que 07 08 Pdf



有关 A M 对数凸函数的hermite Hadamard型积分不等式 Integral Inequalities Of Hermite Hadamard Style For A M Logarithmically Convex Functions



Pdf Free Download


0 件のコメント:
コメントを投稿